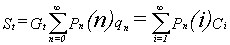
Probability of n packets interfering with test packet (total n+1 packets)
Poisson probability Pn(n) of n contending signals in same slot is
The probability Q(r) of a successful transmission is

The total packet throughput is

where
The probability Q(r) of a successful transmission is
The total packet throughput is
Both methods give the classical expression St = Gt exp(- Gt)

A Busy period contains
plus
Add:
+ one packet time (unity duration) + busy-tone turn-off delay (d)
+ additional duration y because of colliding packets arrive with time offset, where
y = d1- length of period with no arrivals
The busy period has average duration

•Idle period is the time interval from end of busy tone till arrival of new packet •For Poisson arrivals and no propagation delays:
· Memoryless property of Poisson arrivals:
· Expected duration I of idle period
= the average time until a new packet arrival occurs,
•Thus, E
I = G t -1
Cycle
one cycle = idle period + busy period
Renewal Reward Theorem
Throughput per unit of time =
Non-p. ISMA without Delay without Capture
If a packet arrives when the base station transmits a "busy" signal
•The attempt fails. •The packet is rescheduled for later transmission.
•It contributes to
G , but not to S•Retransmissions also contribute to G
If a packet arrives in the idle period
•The transmission is successful ·No interference can occur (d = 0) ·Channel is assumed perfect
•This occurs with probability EI/(
EI + E B)
Using the renewal reward theorem, the throughput becomes

Non-persistent ISMA in Mobile Channel
Probability of successful
transmission
•Take account of the three possible events ·Arrival in idle period ·Arrival in vulnerable period
·Arrival in busy period
If a packet arrives when the base station transmits a "busy" signal
•The attempt fails.
If a packet arrives in the idle period
•This occurs with probability EI/( EI + E B) •We call this packet an "initiating packet"
•A collision occurs if other terminals start transmitting during delay
d of the inhibit signal.•Probability of
n interfering transmissions is Poissonian, with
Non-persistent ISMA: Probability of success
If a packet arrives in the vulnerable period
•Channel is "busy" but seems "idle •It occurs with probability d/(
EB + E I) .•Packet is NOT inhibited
•It always interferers with the initiating packet
•This packet experiences interference from at least one other packet
•Additional
n - 1 contending signals are Poisson distributed. Conditional probability of n interferers is
with
n = 1, 2, ... .
Total Throughput of non-persistent ISMA
Use the following results:
•Average cycle length EI + E B •Initiating packet plus Poisson arrivals during period
d
So
![]()
Special case : instantaneous inhibit signalling (d® 0)
•collisions can never occur in non-persistent ISMA. •St ®Gt (1 + Gt)-1.
•St ®1 for Gt ® ¥.
1-Persistent unslotted ISMA
•Waiting terminal may start transmitting as soon as previous transmission is terminated •Busy period can consist of a number of packet transmissions in succession
• We consider no signalling delay (d
= 0). •For large offered traffic (G® ¥ ), throughput rapidly decreases (with exp{-G})
Transmission cycle in 1-p ISMA
Throughput of 1-Persistent unslotted ISMA
Cycle-initiating packet
•If a packet arrives during idle period •Probability of correct reception is q
0 (r) .
During transmission of (initiating) packet
•A random number of k terminals sense the channel busy•
k is Poissonian with probabilityP .n (k) •When the channel goes idle, k
terminals start transmitting
Probability that busy period terminates
•Probability that no terminals starts transmitting, ( k = 0) is exp (-Gt ) •Probability
P of transmissions duringm (m) m units of time, concatenated to initiating packet is
•Average duration of busy period
Probability of a successful
transmission
Successful packet arrive in idle or vulnerble period
Capture probability:

Inserting E

Throughput of 1-Persistent unslotted ISMA
Total channel throughput
S

where
C 1 is probability of success if no interference is present
C i is probability of success when i packets collide
Special case
• 1-persistent CSMA on wired channels (
q =1 and q0 n =0 for n = 1, 2, ...)